or
Don't have an account? Register
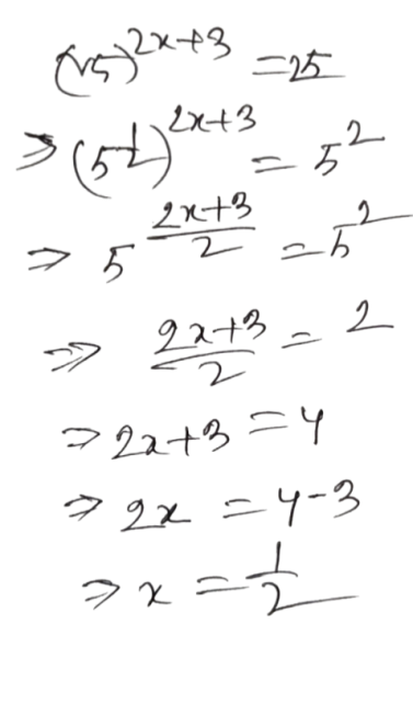
যদি 52x + 3=25 হয়, তবে x = ?
.
A train can travel 50% faster than a car. Both start from point A at the same time and reach point B 75 kms away from A at the same time. On the way, however, the train lost about 12.5 minutes while stopping at the stations. The speed of the car is:
A can contains a mixture of two liquids A and B at the ratio 7 : 5. When 9 liters of mixture are drawn off and the can is filled with liquid B, the ratio of A and B becomes 7 : 9, How many liters of liquid A was contained by the can initially?
Two trains running in opposite directions cross a man standing on the platform in 27 seconds and 17 seconds respectively and they cross each other in 23 seconds. The ratio of their speeds, is:
What decimal of an hour is a second?
What is the percentage increase in the area of a rectangle if each of its sides is increased 20%.
The difference between a two-digt number and the number obtained by interchanging the digits is 36. What is the difference between the sum and the difference of the digits of the number if the ratio between the dusts of the number is 1 : 2?
আপনি আমাকে যেকোনো প্রশ্ন করতে পারেন, যেমনঃ
Are you sure to start over?