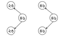
Q চিহ্নিত অংশের কোষ বিভাজনের শেষ ধাপটি বর্ণনা কর।

Updated: 9 months ago
No explanation available yet.
504
শিক্ষকদের জন্য বিশেষভাবে তৈরি

১ ক্লিকে প্রশ্ন, শীট, সাজেশন
অনলাইন পরীক্ষা তৈরির সফটওয়্যার!

শুধু প্রশ্ন সিলেক্ট করুন — প্রশ্নপত্র অটোমেটিক তৈরি!

প্রশ্ন এডিট করা যাবে
জলছাপ দেয়া যাবে
ঠিকানা যুক্ত করা যাবে
Logo, Motto যুক্ত হবে
অটো প্রতিষ্ঠানের নাম
অটো সময়, পূর্ণমান
প্রশ্ন এডিট করা যাবে
জলছাপ দেয়া যাবে
ঠিকানা যুক্ত করা যাবে
Logo, Motto যুক্ত হবে
অটো প্রতিষ্ঠানের নাম
অটো সময়, পূর্ণমান
অটো নির্দেশনা (এডিটযোগ্য)
অটো বিষয় ও অধ্যায়
OMR সংযুক্ত করা যাবে
ফন্ট, কলাম, ডিভাইডার
প্রশ্ন/অপশন স্টাইল পরিবর্তন
সেট কোড, বিষয় কোড
অটো নির্দেশনা (এডিটযোগ্য)
অটো বিষয় ও অধ্যায়
OMR সংযুক্ত করা যাবে
ফন্ট, কলাম, ডিভাইডার
প্রশ্ন/অপশন স্টাইল পরিবর্তন
সেট কোড, বিষয় কোড
এখনই শুরু করুন ডেমো দেখুন
৫০,০০০+
শিক্ষক
৩০ লক্ষ+
প্রশ্নপত্র
মাত্র ১৫ পয়সায় প্রশ্নপত্র
১ ক্লিকে প্রশ্ন, শীট, সাজেশন তৈরি করুন আজই

Complete Exam
Preparation

Learn, practice, analyse and improve

1M+ downloads
4.6 · 8k+ Reviews