Created: 4 years ago |
Updated: 11 months ago
Updated: 11 months ago
-
ক
0
-
খ
1
-
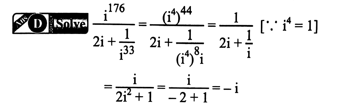
গ
i
-
ঘ
-i
উত্তরঃ


MD.SOLAIMAN HOSAN
2 years ago
Related Question
View All
Created: 2 years ago |
Updated: 11 months ago
Updated: 11 months ago
-
ক
2x sec t
-
খ
2x tan t
-
গ
2xy
-
ঘ
2x sin t
Created: 2 years ago |
Updated: 4 weeks ago
Updated: 4 weeks ago
-
ক
মূল দুইটি
-
খ
শুধুমাত্র সর্বোচ্চ মান আছে
-
গ
সর্বোচ্চ ও সর্বনিম্ন উভয়ই বিদ্যমান
-
ঘ
a মান ঋণাত্মক
Created: 2 years ago |
Updated: 4 weeks ago
Updated: 4 weeks ago
-
ক
-
খ
-
গ
-
ঘ
Created: 2 years ago |
Updated: 10 months ago
Updated: 10 months ago
-
ক
-12
-
খ
-6
-
গ
6
-
ঘ
12
Created: 2 years ago |
Updated: 5 months ago
Updated: 5 months ago
-
ক
-12
-
খ
-6
-
গ
6
-
ঘ
12
শিক্ষকদের জন্য বিশেষভাবে তৈরি
১ ক্লিকে প্রশ্ন, শীট, সাজেশন ও
অনলাইন পরীক্ষা তৈরির সফটওয়্যার!
শুধু প্রশ্ন সিলেক্ট করুন — প্রশ্নপত্র অটোমেটিক তৈরি!
প্রশ্ন এডিট করা যাবে
জলছাপ দেয়া যাবে
ঠিকানা যুক্ত করা যাবে
Logo, Motto যুক্ত হবে
অটো প্রতিষ্ঠানের নাম
অটো সময়, পূর্ণমান
প্রশ্ন এডিট করা যাবে
জলছাপ দেয়া যাবে
ঠিকানা যুক্ত করা যাবে
Logo, Motto যুক্ত হবে
অটো প্রতিষ্ঠানের নাম
অটো সময়, পূর্ণমান
অটো নির্দেশনা (এডিটযোগ্য)
অটো বিষয় ও অধ্যায়
OMR সংযুক্ত করা যাবে
ফন্ট, কলাম, ডিভাইডার
প্রশ্ন/অপশন স্টাইল পরিবর্তন
সেট কোড, বিষয় কোড
অটো নির্দেশনা (এডিটযোগ্য)
অটো বিষয় ও অধ্যায়
OMR সংযুক্ত করা যাবে
ফন্ট, কলাম, ডিভাইডার
প্রশ্ন/অপশন স্টাইল পরিবর্তন
সেট কোড, বিষয় কোড
Related Question
মাত্র ১৫ পয়সায় প্রশ্নপত্র
১ ক্লিকে প্রশ্ন, শীট, সাজেশন তৈরি করুন আজই
Question Analytics
মোট উত্তরদাতা
জন
সঠিক
ভুল
উত্তর নেই